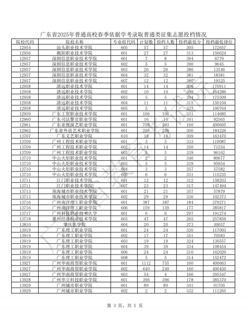
-
2025年广东省春季高考征集志愿投档全解析如下:
一、征集志愿投档时间
广东省春季高考征集志愿投档时间通常在正式投档结束后,具体时间由各高校根据实际情况确定。一般来说,征集志愿投档时间在正式投档后的1-3天内。
二、征集志愿投档流程
1. 高校根据招生计划、专业录取情况及考生志愿,提出征集志愿计划。
2. 考生登录广东省招生考试信息管理系统,查看征集志愿计划,选择填报。
3. 考生在规定时间内完成征集志愿填报。
4. 省招生考试机构对考生征集志愿进行审核,并按考生志愿顺序进行投档。
5. 高校根据考生投档情况,进行录取。
三、志愿填报与录取情况一览
1. 志愿填报
(1)考生需在规定时间内登录广东省招生考试信息管理系统,查看征集志愿计划,选择填报。
(2)考生可填报1-5个平行志愿,每个志愿包含1个专业。
(3)考生可根据自身情况和高校招生计划,合理选择填报志愿。
2. 录取情况
(1)录取原则:根据考生志愿顺序,按照“分数优先、遵循志愿”的原则进行录取。
(2)录取结果:考生可在广东省招生考试信息管理系统查询录取结果。
(3)未录取考生:未录取的考生可关注后续批次录取情况
举报 -
举报
















