-
好的,以下是对2025年顺德大良公办幼儿园招生补录派位结果揭晓的报道摘要:
---
【顺德大良】2025年顺德大良公办幼儿园招生补录派位工作已圆满结束,电脑派位录取名单正式公布。本次补录派位工作严格按照《2025年顺德大良公办幼儿园招生工作实施方案》执行,确保了招生的公平、公正、公开。
据悉,本次补录派位共涉及XX所公办幼儿园,报名人数超过XX人,竞争激烈。经过严格筛选和电脑派位,共有XX名幼儿成功获得录取资格。
以下是部分录取名单公示:
1. 顺德大良第一幼儿园:XX名幼儿成功录取。 2. 顺德大良第二幼儿园:XX名幼儿成功录取。 3. 顺德大良第三幼儿园:XX名幼儿成功录取。
请各位家长注意,录取名单将在幼儿园门口和官方网站上公示,家长可前往查看。未录取的幼儿,家长可关注后续的招生信息,如有空余学位,将按报名顺序进行补录。
顺德大良公办幼儿园招生办公室提醒家长,请妥善保管录取通知书,并按照幼儿园的要求办理入园手续。
---
请注意,以上内容为示例性报道,具体录取名单和幼儿园信息请以官方公布为准。举报 -
2025顺德大良公办幼儿园招生及补录电脑派位录取结果出炉
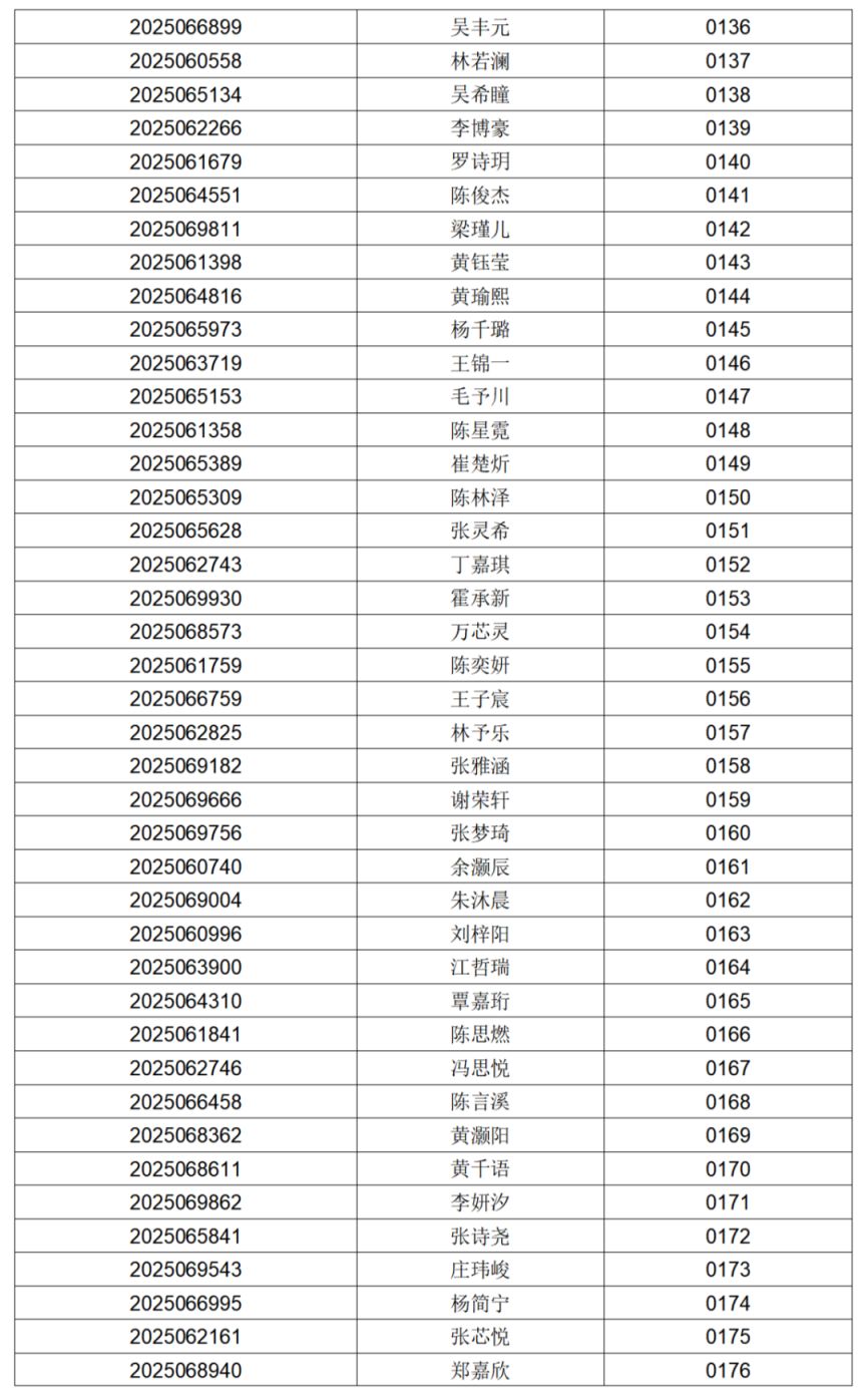
2025年,大良街道15所公办幼儿园由街道统一组织招生。经审核,中班插班报名一共149人,符合优先录取资格的32人,参与电脑派位115人(其中双胞胎2对);大班插班报名一共115人,符合优先录取资格的10人,参与电脑派位号104人(其中双胞胎1对);小班补报名207人,减除不符合招生年龄(17人)及符合优先录取资格(3人)的人员后,共185人参与电脑派位(其中双胞胎2对)。依据顺序号优先,遵循志愿的原则,电脑派位确定录取名单。
中班插班派位结果



大班插班派位结果





小班补录派位结果






温馨提示:
通过本次电脑派位被录取的幼儿,请按照各幼儿园安排,分期、分批于7月4日到园办理注册。注册详情也可致电相关幼儿园咨询。如不按时注册,则视为自动放弃学位。有剩余学位的幼儿园,将会如《招生方案》所示,依次处理“长幼随学”和补录工作。补录按照原派位顺序码优先,兼顾志愿的原则依次补录。请家长留意相关幼儿园的补录通知,如不按时注册即视为放弃该补录学位。
举报

